Như các bạn đã biết thì số ohm là đơn vị thể hiện điện trở (Độ cản trở của dòng điện chạy qua một vật bất kỳ). Khi số ohm càng lớn thì nói lên vật liệu đó có tính cản điện chạy qua lớn. Ứng dụng trong các thiết bị thuốc lá điện tử dùng để thể hiện điện trở của dây coil khi quấn trên các loại tank hay thể hiện điện trở của Occ đối với các dòng pod system.
Vậy số Ohm hiển thị trên các thiết bị thuốc lá điện tử nói lên điều gì? Người dùng cần chú ý tới số Ohm nào để tìm được những thiết bị hóa hơi và tinh dầu phù hợp với mình? Có những số Ohm nào phổ biến và đốt ở mức công suất nào phù hợp?
Các bạn cùng tìm hiểu với mình qua bài viết sau để sử dụng vape được an toàn và bền bỉ nhé!
Việc xác định số Ohm trên vape giúp người dùng xác định được coil hay Occ sẽ hoạt động mức công suất (W) tối đa là bao nhiêu? Thiết bị vape của mình có phù hợp với coil hay Occ đó không?

Tam giác tương quan của dòng điện
Dựa trên tam giác tương quan và hệ thống kiến thức chúng ta đã được học thì quy định:
Số Ohm (Ω): Là điện trở của dòng điện có ký hiệu là R
Ampe (A): Là cường độ dòng điện có ký hiệu là I
Volt (V): Là hiệu điện thế của dòng điện có ký hiệu là U
Watt (W): Là công suất xả của máy có ký hiệu là P
Ta có công thức tương quan giữa 3 chỉ số trên như sau:

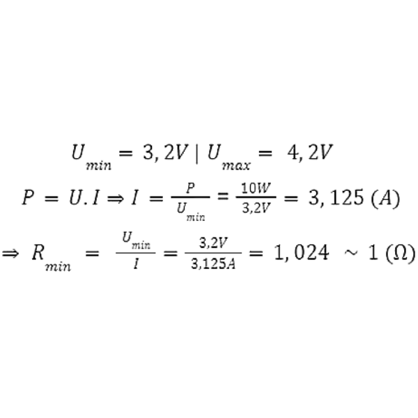
Mình sẽ lấy ví dụ về 1 pod system để tính toán xem máy chạy được Occ với số ohm bao nhiêu. Cụ thể mình sẽ lấy pod system Jellybox Nano để làm ví dụ cho các bạn dễ hiểu nhé:


Dựa trên thông số nhà sản xuất đưa ra (Có in trên tờ hướng dẫn sử dụng đi kèm hộp máy) để xác định xem chiếc pod Jellybox Nano sẽ chạy được trên Occ với số Ohm là bao nhiêu?

Từ các con số mà mình có thể tính toán ở trên, các bạn có thể xác định được Rmax=3 vậy bạn có thể kết luận được dải điện trở mà Occ dùng trên pod system Jellybox Nano nằm trong khoảng 1 3. Nếu bạn sử dụng Occ với số Ohm nằm ngoài ngưỡng này thì máy sẽ không hoạt động được. Kết quả tính ra sát với số điện trở của Occ nhà sản xuất đưa ra.

Thông qua các công thức vật lý ở trên thì các bạn dễ nhận thấy. Công suất (P) của vape sẽ tỉ lệ thuận với Hiệu điện thế (U) hay nói cách khác khi bạn tăng công suất (tăng W) thì Hiệu điện thế cũng sẽ tăng theo (Tăng V) tương ứng. Tương tự như vậy từ công thức ta sẽ thấy Công suất càng lớn thì điện trở sẽ càng nhỏ và ngược lại.
Mình đưa ra cách tính này để các bạn có thể hiểu được tại sao khi lắp Occ có số ohm không đúng máy của bạn sẽ không đốt được.
Nếu tính toán không phải là thế mạnh của bạn thì bạn đừng lo lắng. Hiện nay trên các tờ hướng dẫn sử dụng đi kèm máy đều có ghi rõ những thông tin bạn cần biết.
VD: Máy này chạy được đầu tank hay Occ với số ohm bao nhiêu?
Với số ohm đó thì nên đốt với công suất bao nhiêu W thì đạt hiệu năng tốt nhất?
Máy có dung lượng pin là bao nhiêu mAh?
Với Dung lượng pin và công suất bạn dùng có thể nhẩm sơ sơ dùng được bao lâu thì hết pin hay sạc bao lâu thì đầy pin?…..

Những thông số này rất quan trọng vậy nên khi chọn các thiết bị thuốc lá điện tử thì bạn cố gắng chú ý đến những thông tin này. Nếu vẫn quá khó nhớ thì bạn chỉ cần nhớ những câu hỏi tương tự như ở trên để hỏi nhân viên tư vấn bán hàng nhé!
Với những bạn đang dùng vape box mix đầu tank thì việc nắm vững số ohm sẽ giúp bạn điều chỉnh được công suất đốt phù hợp với đầu tank, việc trải nghiệm vị và khói sẽ trở nên dễ dàng và tuyệt vời hơn. Nếu bạn không nắm vững kiến thức này cũng đừng quá lo lắng. Nhân viên tư vấn sẽ nhiệt tình giúp bạn quấn coil và hướng dẫn bạn cách sử dụng và lên bông.
Một số mức điện trở và công suất đốt thông dụng mà bạn có thể nhớ:
0.15Ω: Phù hợp đốt ở 58~65W
0.2Ω: Phù hợp đốt ở 50~55W
0.3Ω: Phù hợp đốt ở 38~42W
0.4Ω: Phù hợp đốt ở 30~35W
0.5Ω: Phù hợp đốt ở 28~30W
0.6Ω: Phù hợp đốt ở 25~28W
0.8Ω: Phù hợp đốt ở 18~20W
1.0Ω: Phù hợp đốt ở 13~15W
1.2Ω: Phù Hợp đốt ở 10~13W
Lưu ý đây chỉ là một số mức đốt phù hợp với điện trở thông dụng cho occ, chứ không phải dành cho tất cả các loại occ hoặc coil quấn tay.
Bạn có thể liên hệ với X14 Vape Shop để được tư vấn thêm về cách chọn occ phù hợp với dòng máy mình sử dụng nhé!!
Địa Chỉ Cs 1 : 31/12 Huỳnh Ngọc Huệ, Đà Nẵng
Địa Chỉ Cs 2 : Cửa Đại, TP Hội An, Quảng Nam
X14 Vape Shop Đà Nẵng -
có ship toàn quốc
SĐT : 0909514269 (gặp Minh)
SĐT : 0777449365 (gặp Thúy)
SĐT : 0799013756 (gặp Bôn)
